Nước thải từ máy giặt có thành phần bao gồm nhiệt, xơ vải, đất cát, thuốc
nhuộm, các tác nhân và hóa chất khác từ các chất tẩy rửa. Khi nước thải
giặt vào môi trường, chúng
có thể độc hại đối với động vật hoang dã, hoặc có thể dẫn đến hiện tượng phú
dưỡng.
Có một số thông số trong việc đánh giá nước thải giặt: nhiệt độ, pH, các
chất lơ lửng, Clo, chất trầm tích, tổng nitơ, tổng photpho, amoniac, nhu cầu
oxy hóa học (COD), nhu cầu oxy sinh hóa (BOD5), các anion hoạt động bề mặt,.v.v..
Một số nguyên liệu chất tẩy rửa thông dụng là chất hoạt động bề mặt , hỗn
hợp của các hợp chất hóa học bao gồm alkylbenzenesulfonates, mà là tương tự như
xà phòng, và các chất phụ trợ. Các chất hoạt động bề mặt có thể được phân loại dự
vào hoạt động bề mặt anion, cation và không ion. Việc sử dụng rộng rãi nhất là alkylbenzene
sulfonate (LAS), một anion hoạt động bề mặt tuyến tính. Trong cấu trúc thành phần,
natri triphosphate, zeolit A, natri nitrilotriacetate (NTA) là những chất quan
trọng nhất. Hợp chất tẩy hoạt thường là natri perborate và natri percarbonate .
Các enzyme và các chất làm trắng huỳnh quang được thêm vào chất tẩy rửa làm chất
phụ trợ.
Chất bề mặt có 2 đặc tính là ưa nước và ưa mỡ trong một phân tử, vì vậy
chúng được gọi là chất hoạt động bề mặt, và được sử dụng rộng rãi trong quá
trình rửa khác nhau.Với cấu trúc phân tử có
đuôi ưa mỡ, bề mặt là hoạt tính sinh học. Chất hoạt động bề mặt anion có
khả năng liên kết với các phân tử hoạt tính sinh học như enzyme , DNA, peptide,
gây ra những thay đổi của điện bề mặt và gấp của chuỗi polypeptide (cấu trúc của
protein). Các chức năng của protein sẽ khác nhau. Cation có thể bám vào màng
bên trong của vi khuẩn, và bằng cách này làm rối loạn các vi khuẩn thông qua
chuỗi alkyl dài của chúng. Chất hoạt động bề mặt không ion có thể liên kết với cả
hai protein và màng phospholipid, dẫn đến rò rỉ của các hợp chất phân tử lượng
thấp bằng cách tăng tính thấm của màng tế bào và các túi. Điều này có thể dẫn đến
tổn thương nghiêm trọng trong các tế bào hoặc thậm chí gây chết tế bào.
LAS và phân hủy sinh học của nó
Alkylbenzene sulfonate (LAS) với công thức C 12 H 25 C 6 H 4 SO 3 Na,
còn được gọi là natri dodecylbenzene sulfonate , là anion hoạt động bề mặt được sử dụng rộng rãi nhất
trong bột giặt vì nó có tác động môi trường tối thiểu và tính dễ phân hủy sinh
học của nó.
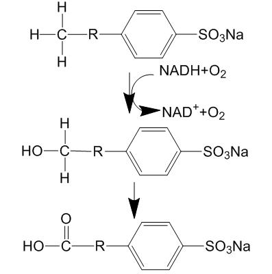
Một phân hủy sinh học hoàn chỉnh trong điều kiện hiếu khí bao gồm hai bước,
phân hủy sinh học tiểu học và phân hủy sinh học cuối cùng. Bước đầu tiên bắt đầu
từ carbon trong chuỗi alkyl như omega-oxy hóa, có thể bắt đầu từ một hoặc cả
hai đầu, sau đó được theo sau bởi beta-oxy hóa. Sau bước đầu tiên còn lại là
sulfophenyl (di) cacboxylat (SP (d) Cs), một phân tử lớn có thể được tham gia
vào bước thứ hai. Bước thứ hai chỉ xảy ra khi vi khuẩn cần thiết tồn tại. Vòng
phân tách của benzen và desulphonation của sulphophenyl mono- và dicarboxyilic
axit xảy ra. Sau khi phân hủy sinh học hai bước, LAS suy thoái thành carbon dioxide, nước, muối vô
cơ và sinh khối còn lại. Trong phân hủy sinh học, một số vi khuẩn và oxy cụ thể
được yêu cầu trong cả omega-oxy hóa chuỗi alkyl và quá trình bóc vòng benzen để
phân hủy sinh học này chỉ có thể xảy ra trong điều kiện hiếu khí. Trong điều kiện
yếm khí , LAS cho thấy không có thay đổi. Các nhà nghiên cứu cũng chứng minh rằng
quá trình phân hủy sinh học được giới hạn trong 20-40 mg / L và thậm chí ức chế
ở nồng độ cao hơn, dẫn đến sự phân hủy sinh học không hoàn toàn của LAS trong
các nhà máy xử lý nước thải.

Omega-oxy hóa LAS phân hủy sinh học

Beta-oxy hóa LAS phân hủy sinh học
Tác hại với môi trường
Chất tẩy rửa là chất làm mềm nước,
có thể loại bỏ các ion canxi và magiê bằng cách tạo phức hoặc kết tủa trong
nước cứng (nước có chứa rất nhiều canxi và magiê).
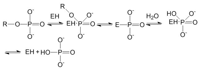
Natri triphosphate , với công thức
Na 5 P 3 O 10, chủ yếu được sử dụng
trong chất tẩy rửa, có thể dẫn đến hiện tượng phú dưỡng do có chứa phốt pho
(P). P là cần thiết cho việc chuyển giao năng lượng, sự hình thành của DNA, RNA
và nhiều chất chuyển hóa trung gian khác. Chỉ P trong orthophosphate có thể
được đồng hóa bởi tự dưỡng, các hợp chất P khác như natri triphosphate có thể
hóa hoặc enzym thủy phân để orthophosphate. Cơ chế được hiển thị dưới đây.

Sự xuống cấp của natri triphosphate với enzyme
Phốt pho quá nhiều có thể làm cho sự phát triển quá mức của sinh vật tự
dưỡng, như tảo và vi khuẩn lam, dẫn đến hiện tượng phú dưỡng kết quả là hình thành các thảm thực vật, tảo dày đặc. Khi chúng chết và chìm
xuống đáy, các vi sinh vật sẽ tiêu thụ oxy để phân hủy sẽ phát triển mạnh. Với
sự suy giảm oxy, cá chết và vi khuẩn kỵ khí sản xuất methane , hydrogen sulfide
và amoniac , có thể phá hủy các hệ sinh thái.

English
Vietnamese







